|
Menu
×
×
Correct!
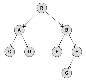
Exercise:In a Tree data structure, like the one below:
What are nodes C, D, E, and G called?
Nodes C, D, E, and G
are called @(5) nodes.
Nodes C, D, E, and G
are called leaf nodes.
Nodes C, D, E, and G
are called child nodes.
Not CorrectClick here to try again. Correct!Next ❯ |
This will reset the score of ALL 43 exercises.
Are you sure you want to continue?